車削-切削數據計算式
| ①車削加工切削速度(Vc) | ②車削所需功率 (Pc / H) | ||
![]()
|
放圖 |
![]() ![]()
|
放圖 |
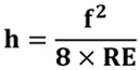
| ③加工表面粗糙度 (h) | ④移除體積 (Q) 和 切削時間 (Tc) | ||
![]() ![]()
|
放圖 | ![]()
![]()
|
放圖 |
平面銑削─切削數據計算式
| ①銑削加工切削速度(Vc) | ②每刃進給 (fz) | ||
![]() ![]()
|
放圖 |
![]() ![]()
|
放圖 |
| ③銑削所需功率 (Pc / H) | ④移除體積 (Q) | ||
![]() ![]()
|
放圖 |
![]()
|
放圖 |
| ⑤切削時間 (Tc) | |||
![]()
|
放圖 | ||
鑽削─切削數據計算式
| ①鑽削加工切削速度(Vc) | ②主軸進給量(Vf) | ||
![]() ![]()
|
放圖 | ![]() ![]()
|
放圖 |
| ③切削時間 (Tc) | |||
![]()
|
放圖 | ||















